My Page, van Petten, Forrester and Lowrey Family Lines
HomePage
Genealogy
Search
Interactive Pedigree Chart
Surnames
Sources
Exhibits
Recent Changes
Charts
Notable People
Event Maps
Calendar
ICONS
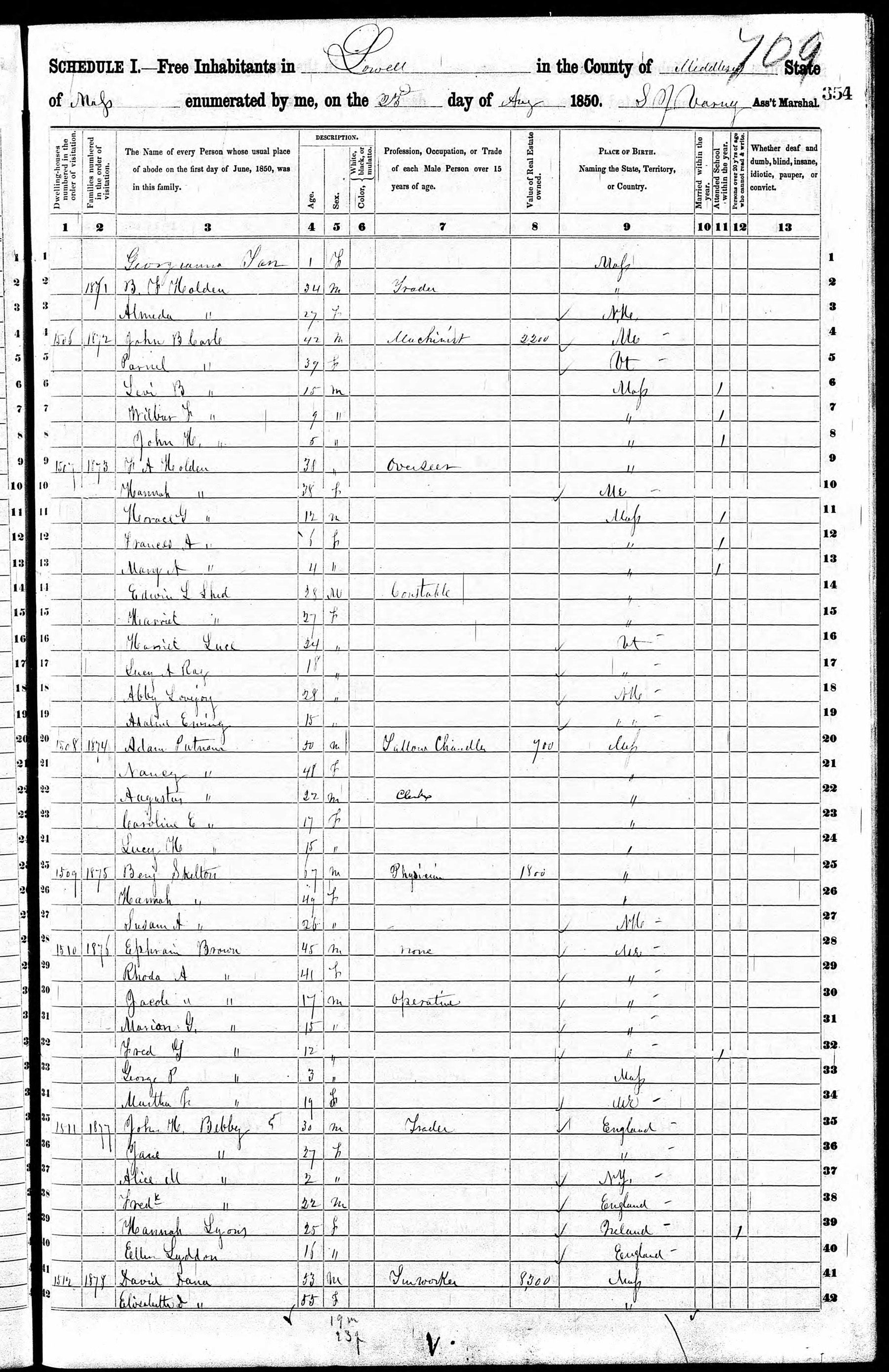
1850 US Census
Frederic A Holden